Công thức lượng giác lớp 11 từ cơ bản đến nâng cao, giúp các bạn học sinh có thể nắm được chi tiết từ đó đạt được kết quả cao trong các kì thi sắp tới.
Tham khảo thêm:
- Phương trình lượng giác cơ bản
- Công thức đạo hàm lớp 11
- Giải toán 11
- Công thức lượng giác lớp 10
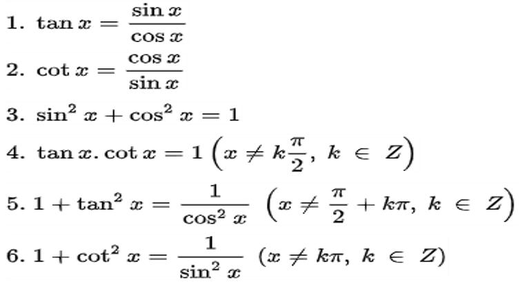
1. Công thức lượng giác lớp 11 cơ bản

2. Công thức cộng lượng giác lớp 11
Mẹo giúp nhớ công thức cộng lượng giác: Sin thì sin cos cos sin → cos thì cos cos sin sin dấu trừ → Tan thì tan nọ tan kia chia cho mẫu số một trừ tan tan.

3. Công thức các cung liên kết ở trên đường tròn lượng giác
Mẹo nhớ công thức: cos đối, sin bù, phụ chéo và tan hơn kém π

Đối với cung hơn kém π / 2
- cos(π/2 + x) = - sinx
- sin(π/2 + x) = cosx
4. Công thức nhân đôi, nhân 3, nhân 4
a) Công thức nhân đôi lượng giác:

b) Công thức nhân 3 lượng giác:
c) Công thức nhân 4 lượng giác:
- sin4a = 4.sina.cos3a - 4.cosa.sin3a
- cos4a = 8.cos4a - 8.cos2a + 1 ⇔ cos4a = 8.sin4a - 8.sin2a + 1
5. Công thức hạ bậc lượng giác
Thực chất những công thức này đều được biến đổi ra từ các công thức lượng giác cơ bản.
Ví dụ như: sin²a = 1 - cos²a = 1 - (cos2a + 1)/2 = (1 - cos2a)/2.
6. Công thức biến tổng thành tích
Mẹo ghi nhớ: cos cộng cos bằng hai cos cos, cos trừ cos bằng trừ hai sin sin; sin cộng sin bằng hai sin cos, sin trừ sin bằng hai cos sin.

7. Công thức biến đổi tích thành tổng

8. Nghiệm phương trình lượng giác
a) Nghiệm phương trình lượng giác cơ bản

b) Nghiệm phương trình lượng giác trong trường hợp đặc biệt
- sin a = 0 ⇔ a = kπ; (k ∈ Z)
- sin a = 1 ⇔ a = π/2 + k2π; (k ∈ Z)
- sin a = -1 ⇔ a = -π/2 + k2π; (k ∈ Z)
- cos a = 0 ⇔ a = π/2 + kπ; (k ∈ Z)
- cos a = 1 ⇔ a = k2π; (k ∈ Z)
- cos a = -1 ⇔ a = π + k2π; (k ∈ Z)
9. Dấu của các giá trị lượng giác
Cách xác định dấu của các giá trị lượng giác đơn giản, dễ hiểu thông qua bảng thống kê chi tiết dưới đây:

10. Bảng giá trị lượng giác của các góc lượng giác đặc biệt
Chi tiết bảng lượng giác các góc đặc biệt để các bạn tham khảo:

11. Các công thức lượng giác đặc biệt các bạn cần nhớ (kiến thức nâng cao)
Dưới đây là thống kế các công thức lượng giác đặc biệt nằm trong phần kiến thức nâng cao để giúp các bạn lấy điểm 9, 10:

13. Hàm lượng giác ngược (nâng cao)
Công thức lượng giác 11 phần nâng cao (hàm lượng giác ngược) chi tiết để các bạn tham khảo trong quá trình ôn luyện kiến thức chuẩn bị cho các kì thi sắp tới:

14. Dạng lượng giác của số phức (nâng cao)
Kiến thức nâng cao lượng giác hóa số phức để các bạn tham khảo:
15. Tích vô hạn (nâng cao)

Tham khảo thêm:
- Các dạng bài tập phương trình lượng giác lớp 11