Bài 1 trang 54 SGK Toán 7 tập 1 - Cánh Diều
Từ các tỉ số sau đây có lập được tỉ lệ thức không?
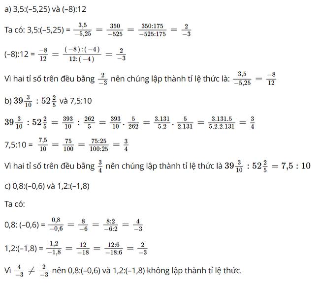
a) 3,5 : (-5,25) và (-8) : 12
b) (39frac{3}{{10}}:52frac{2}{5}) và 7,5 : 10
c) 0,8 : (-0,6) và 1,2 : (-1.8)
Phương pháp:
Tính các tỉ số rồi so sánh
Nếu 2 tỉ số bằng nhau thì lập được tỉ lệ thức
Lời giải:

Bài 2 trang 54 SGK Toán 7 tập 1 - Cánh Diều
Tìm x trong mỗi tỉ lệ thức sau:
a) (frac{x}{5} = frac{{ - 2}}{{1,25}}); b) 18 : x = 2,4 : 3,6; c) (x+1) : 0,4 = 0,5 : 0,2
Phương pháp:
Sử dụng tính chất của tỉ lệ thức:
Nếu (frac{a}{b} = frac{c}{d}) thì ad = bc
Lời giải:
a) Từ áp dụng tính chất tỉ lệ thức ta có:
x.1,25 = 5.(-2)
x.1,25 = -10
x = (-10):1,25
x = -8.
Vậy x = -8
b) 18 : x = 2,4 : 3,6
Áp dụng tính chất tỉ lệ thức ta có:
18 . 3,6 = x . 2,4
64,8 = x . 2,4
x = 64,8 : 2,4
x = 27
Vậy x = 27.
c) (x + 1) : 0,4 = 0,5 : 0,2.
Áp dụng tính chất tỉ lệ thức ta có:
(x + 1) . 0,2 = 0,4 . 0,5
(x + 1) . 0,2 = 0,2
x + 1 = 0,2 : 0,2
x + 1 = 1
x = 1 - 1
x = 0
Vậy x = 0.
Bài 3 trang 54 SGK Toán 7 tập 1 - Cánh Diều
Lập tất cả các tỉ lệ thức có thể có được từ bốn số sau: 1,5; 2; 3,6; 4,8.
Phương pháp:
+ Tìm đẳng thức a.d = b.c có được từ 4 số a,b,c,d khác 0
+ Nếu ad = bc thì ta có 4 tỉ lệ thức: (frac{a}{b} = frac{c}{d};frac{a}{c} = frac{b}{d};frac{d}{b} = frac{c}{a};frac{d}{c} = frac{b}{a})
Lời giải:
Ta có: 1,5.4,8 = 7,2 và 2.3,6 = 7,2 do đó: 1,5.4,8 = 2.3,6.
Áp dụng tính chất ta có thể lập ra các tỉ lệ thức sau:
Bài 4 trang 54 SGK Toán 7 tập 1 - Cánh Diều
Trong giờ thí nghiệm xác định trọng lượng, bạn Hà dùng hai quả cân 100 g và 50 g thì đo được trọng lượng tương ứng là 1 N và 0,5 N
a) Tính tỉ số giữa khối lượng của quả cân thứ nhất và khối lượng của quả cân thứ hai; tỉ số giữa trọng lượng tương ứng của quả cân thứ nhất và trọng lượng của quả cân thứ hai.
b) Hai tỉ số trên có lập thành tỉ lệ thức không?
Phương pháp:
a) Tính hai tỉ số
b) Nếu 2 tỉ số trên bằng nhau thì lập thành tỉ lệ thức
Lời giải:
a) Tỉ số giữa khối lượng của quả cân thứ nhất và khối lượng của quả cân thứ hai là:
100 : 50 = 2
Tỉ số giữa trọng lượng của quả cân thứ nhất và trọng lượng của quả cân thứ hai là:
1 : 0,5 = 2
b) Vì hai tỉ số ở câu a cùng bằng 2 nên hai tỉ số trên lập thành tỉ lệ thức.
Bài 5 trang 54 SGK Toán 7 tập 1 - Cánh Diều
Người ta pha nhiên liệu cho một loại động cơ bằng cách trộn 2 phần dầu với 7 phần xăng. Hỏi cần bao nhiêu lít xăng để trộn hết 8 lít dầu theo cách pha nhiên liệu như trên?
Phương pháp:
Số lít dầu: số lít xăng = 2 : 7
Lời giải:
Tỉ lệ xăng và dầu để pha nhiên liệu là:
Gọi số lít xăng để trộn 8 lít dầu là x, do tỉ lệ xăng và dầu để pha nhiên liệu là nên ta có:
2 . x = 8 . 7
2 . x = 56
x = 56 : 2
x = 28
Vậy cần 28 lít xăng để trộn với 8 lít dầu.
Sachbaitap.com