Phần 1
NGUYÊN HÀM - TÍCH PHÂN - ỨNG DỤNG
1. Nguyên hàm
a) Khái niệm
Nếu (Fleft( x right)) là một nguyên hàm của (fleft( x right)) trên (K) thì họ nguyên hàm của (fleft( x right)) trên (K) là:
(int {f(x)} dx = F(x) + C,C in R.)
b) Tính chất
+)(int {f'(x)} dx = f(x) + C)
+)(int {left[ {f(x) pm g(x)} right]} dx)( = int {f(x)} dx pm int {g(x)} dx)
+)(int {kf(x)} dx = kint {f(x)} dx (k ne 0))
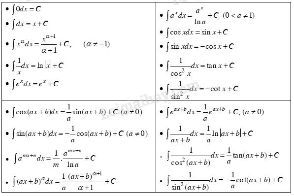
c) Nguyên hàm của một số hàm số thường gặp

d) Các phương pháp tìm nguyên hàm
- Sử dụng bảng nguyên hàm cơ bản
- Sử dụng phương pháp đổi biến số
(int {fleft[ {u(x)} right].u'(x)} dx = Fleft[ {u(x)} right] + C)
- Sử dụng phương pháp ừng phần để tìm nguyên hàm
(int u dv = uv - int v du)
2. Tích phân
a) Định nghĩa
Cho hàm số (fleft( x right)) liên tục trên khoảng (I) và (a,b) là hai số bất kì thuộc (I.) Nếu (Fleft( x right)) là một nguyên hàm của (fleft( x right)) thì hiệu số (Fleft( b right) - Fleft( a right)) được gọi là tích phân của (fleft( x right)) từ (a) đến (b) và kí hiệu là (intlimits_a^b {f(x)dx} .)
Ta có công thức Newton - Leibnitz:
(intlimits_a^b {f(x)dx} = left. {Fleft( x right)} right|_a^b = Fleft( b right) - Fleft( a right))
b) Tính chất
+) (intlimits_a^a {f(x)dx} = 0)
+) (intlimits_a^b {f(x)dx} = - intlimits_b^a {f(x)dx} )
+) (intlimits_a^c {f(x)dx} = intlimits_a^b {f(x)dx} + intlimits_b^c {f(x)dx} )
+) (intlimits_a^b {kf(x)dx} = kintlimits_a^b {f(x)dx} ,k in R)
+)(intlimits_a^b {[f(x) pm g(x)]dx} )(= intlimits_a^b {f(x)dx} pm intlimits_a^b {g(x)dx} )
c) Phương pháp tính tích phân
- Sử dụng công thức Newton - Leibnitz kết hợp với bảng nguyên hàm cơ bản ở trên
- Phương pháp đổi biến số
(intlimits_a^b {fleft[ {u(x)} right].u'(x)} dx = intlimits_{u(a)}^{u(b)} {f(u)} du)
- Phương pháp từng phần để tính tích phân
(intlimits_a^b u dv = left. {uv} right|_a^b - intlimits_a^b v du)
3. Ứng dụng của tích phân
a) Tính diện tích hình phẳng
+) Diện tích hình phẳng giới hạn bởi đồ thị hàm số (y = fleft( x right)) ((fleft( x right)) liên tục trên đoạn (left[ {a;b} right])), trục (Ox) và hai đường thẳng (x = a) và (x = b) được cho bởi công thức:
(S = intlimits_a^b {left| {f(x)} right|dx} )
+) Diện tích hình phẳng giới hạn bởi hai đường thẳng (x = a,x = b) và đồ thị của hai hàm số (y = {f_1}left( x right)) và (y = {f_2}left( x right)) (({f_1}left( x right)) và ({f_2}left( x right)) liên tục trên đoạn (left[ {a;b} right])) được cho bởi công thức
(S = intlimits_a^b {left| {{f_1}(x) - {f_2}(x)} right|dx} )
c) Tính thể tích vật thể, khối tròn xoay
+) Thể tích vật thể (T) có thiết diện (Sleft( x right)) được cho bởi công thức:
(V = intlimits_a^b {S(x)dx} )
+) Cho hàm số (y = fleft( x right)) liên tục và không âm trên đoạn (left[ {a;b} right].) Thể tích của vật thể tròn xoay sinh bởi miền (left( D right)) giới hạn bởi (y = fleft( x right),;x = a,x = b,y = 0) quay quanh trục (Ox) được cho bởi công thức:
(V = pi intlimits_a^b {{y^2}dx} = pi intlimits_a^b {{f^2}(x)dx} )
+) Cho hàm số (x = fleft( y right)) liên tục và không âm trên đoạn (left[ {a;b} right].) Tính thể tích vật thể tròn xoay sinh bởi miền (left( D right)) giới hạn bởi (x = fleft( y right),;y = a,y = b,x = 0) quay quanh trục (Oy) được cho bởi công thức:
(V = pi intlimits_a^b {{x^2}dy} = pi intlimits_a^b {{f^2}(y)dy} )