Trong toán học, việc nắm vững công thức tích vô hướng của 2 vectơ là nền tảng quan trọng để hiểu rõ mối quan hệ giữa các vectơ trong không gian. Khái niệm này không chỉ đóng vai trò quan trọng trong hình học mà còn là một công cụ thiết yếu giúp giải quyết nhiều bài toán phức tạp. Bài viết dưới đây, Sforum sẽ giới thiệu chi tiết về khái niệm, cách tính tích vô hướng giúp bạn dễ dàng áp dụng vào thực tế. Hãy cùng Sforum tìm hiểu chi tiết!
Tích vô hướng của 2 vectơ là gì?
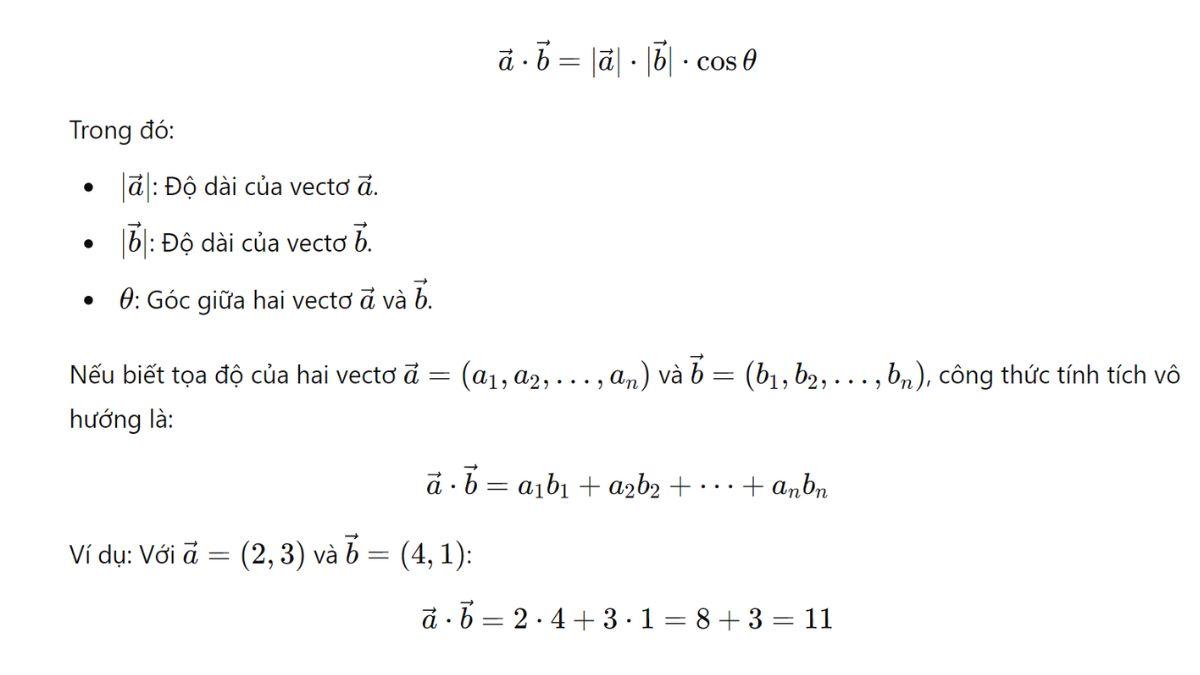
Công thức tích vô hướng (hay còn gọi là dot product) là một phép toán trong hình học, được thực hiện trên hai vectơ và cho ra một giá trị vô hướng (một số thực). Nó không chỉ thể hiện mối quan hệ giữa hai vectơ mà còn hỗ trợ trong việc xác định góc giữa chúng.
Công thức tổng quát để tính tích vô hướng của hai vectơ cụ thể là:

Tích vô hướng có ý nghĩa quan trọng trong việc xác định mối quan hệ giữa hai vectơ, đặc biệt là khi xét điều kiện vuông góc hoặc song song.
Nếu bạn đang tìm một chiếc laptop để hỗ trợ học tập và thực hành các bài toán về vô hướng 2 vectơ, hãy tham khảo các mẫu laptop chất lượng tại CellphoneS. Với cấu hình mạnh mẽ và giá cả hợp lý, bạn sẽ dễ dàng xử lý mọi phần mềm học tập. Truy cập CellphoneS ngay để chọn cho mình chiếc laptop phù hợp! Tham khảo ngay!
[Product_Listing categoryid="380" propertyid="" customlink="https://cellphones.com.vn/laptop.html" title="Danh sách Laptop đang được quan tâm nhiều tại CellphoneS"]
Tính chất của tích vô hướng
Tích vô hướng hai vectơ không chỉ là một khái niệm cơ bản mà còn mang lại nhiều ứng dụng quan trọng trong toán học và các lĩnh vực khác. Các tính chất đặc biệt của nó giúp việc tính toán và phân tích trở nên dễ dàng hơn. Dưới đây là những tính chất quan trọng của mà bạn cần nắm vững để áp dụng hiệu quả trong các bài tập và tình huống thực tế.
Tính chất giao hoán
Một trong những tính chất cơ bản và quan trọng nhất của tích vô hướng 2 vectơ là tính chất giao hoán. Tính chất này khẳng định rằng giữa hai vectơ không thay đổi khi đổi chỗ:

Điều này có nghĩa là nếu bạn thay đổi thứ tự của hai vectơ trong phép nhân, kết quả của tích vô hướng hai vectơ vẫn không thay đổi. Tính chất giao hoán giúp chúng ta dễ dàng tính toán mà không cần phải lo lắng về thứ tự của các vectơ trong phép toán.
Tính phân phối đối với phép cộng vectơ
Tích vô hướng cũng tuân theo tính phân phối đối với phép cộng các vectơ. Tính chất này cho phép bạn chia nhỏ phép toán khi tính tích của một vectơ với tổng của hai vectơ. Cụ thể, ta có:
Điều này có nghĩa là bạn có thể tính tích vô hướng 2 vectơ một cách riêng biệt và sau đó cộng kết quả lại. Tính chất phân phối này rất hữu ích khi bạn cần tính tích vô hướng của một vectơ với tổng của nhiều vectơ. Điều này giúp giảm bớt độ phức tạp của phép toán và làm cho quá trình tính toán trở nên thuận tiện hơn.
Tính kết hợp với một số vô hướng
Tính chất kết hợp với một số vô hướng cho phép bạn nhân một vectơ với một hằng số trước khi thực hiện phép tính. Khi đó, tích vô hướng sẽ được nhân với hằng số đó. Cụ thể, ta có:
Điều này có nghĩa là bạn có thể nhân một trong hai vectơ với một số vô hướng trước, rồi tính vô hướng với vectơ còn lại. Tính chất này rất quan trọng trong các bài toán có liên quan đến công thức tích vô hướng, đặc biệt là khi một trong các vectơ đã được nhân với một số hằng.
Điều kiện vuông góc
Một trong những ứng dụng quan trọng của tích vô hướng là trong việc xác định điều kiện vuông góc của hai vectơ. Hai vectơ được coi là vuông góc khi và chỉ khi tích vô của chúng bằng 0.
Điều này có nghĩa là góc giữa chúng là 90 độ, tức là hai vectơ này vuông góc với nhau. Tính chất này rất hữu ích trong việc xác định mối quan hệ giữa các vectơ trong không gian.
Một số bài tập về tích vô hướng của hai vectơ
Sau đây là một số bài tập tích vô hướng của hai vectơ, giúp bạn luyện tập và nắm vững khái niệm này. Cụ thể, những bài tập này sẽ giúp bạn rèn luyện kỹ năng tính toán và áp dụng các công thức liên quan đến phép toán này trong các bài toán hình học và đại số tuyến tính. Việc hiểu và áp dụng thành thạo cách tính tích vô hướng sẽ giúp bạn tự tin hơn trong việc giải quyết các vấn đề phức tạp trong toán học.


Để hiểu rõ hơn về cách tính tích vô hướng của 2 vectơ, bạn cần nắm vững các công thức và tính chất cơ bản của phép toán này. Việc thực hành các bài tập áp dụng công thức tích vô hướng sẽ giúp bạn củng cố và nâng cao kỹ năng tính toán. Hy vọng rằng những kiến thức này sẽ hỗ trợ bạn trong việc giải quyết các bài toán và ứng dụng trong các lĩnh vực khác nhau, đặc biệt là lĩnh vực giáo dục.
Xem thêm các bài viết cùng chủ đề: Góc Học & Dạy 4.0